Kapitalisierungs­faktor (Renten­barwert­faktor) berechnen

Ihr Partner für fundierte Unternehmens­bewertungen nach anerkannten Standards.

Anrufen
Kapitalisierungsfaktor

Hier finden Sie Formeln und Beispiele für die Berechnung des Kapitalisierungsfaktors, welcher auch Rentenbarwertfaktor genannt wird.

Zuerst wird nochmals kurz auf das Prinzip des Auf- und Abzinsens eingegangen. Anschließend wird die Berechnung des Kapitalisierungsfaktors bei einem begrenzten Zeithorizont und anschließend mit unbegrenztem Zeithorizont dargestellt. Es erfolgt jeweils eine Darstellung der Formel und anschließend ein Beispiel.

Am Ende wird die einfache Berechnung mit der Programmiersprache Julia beschrieben.

Anrufen

Abzinsungsfaktor

Bevor der Kapitalisierungsfaktor dargestellt wird, sei kurz nochmal das Prinzip der Auf-und Abzinsung dargestellt. Werden dieses Jahr in 𝑡 = 0 100 Geldeinheiten (GE) für zwei Jahre zu einem Zinssatz von 10% angelegt, erhält man in 2 Jahren 121 GE. Dies ist folgend dargestellt. Es handelt sich um eine Aufzinsung.

Aufzinsung Beispiel

Wird der Geldwert hingegen von dem Jahr 2 auf den jetzigen Zeitpunkt abgezinst, erfolgt die Berechnung folgendermaßen.

Abzinsung Beispiel

Der Abzinsungsfaktor 1.1−1 ∗ 1.1−1 beträgt ausmultipliziert 0.8264.

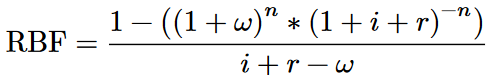
Kapitalisierungs­faktor mit begrenztem Zeithorizont

Formel

Hier sei die Formel für den Kapitalisierungsfaktor mit begrenztem Zeithorizont angegeben. 𝑛 steht für die Periode (Anzahl der Jahre ), 𝜔 für eine Wachstumsrate des Geldflusses, 𝑖 für den Zinssatz und 𝑟 für einen potentiellen Risikoaufschlag.

RBF

Beispiel

Es folgt ein einfaches Beispiel. Ein Unternehmen ermöglicht einen Geldfluss von 100 GE für 30 Jahre. Dieser Geldfluss wächst jährlich um 2%. Der Zinssatz beträgt 10% und Risikoaufschlag beträgt 0%. Die Werte werden in die Formel eingesetzt und es ergibt sich ein Barwertfaktor von 11.2.

RBF Beispiel

Der Barwertfaktor von 11.2 wird anschließend mit dem Geldfluss von 100 multipliziert. Das Ergebnis beträgt 1120 GE.

RBF Beispiel 2

Kapitalisierungs­faktor mit begrenztem Zeit­horizont berechnen

Hier haben Sie die Möglichkeit den Kapitalisierungsfaktor direkt zu berechnen. Wird keine Wachstumsrate berücksichtigt so tragen Sie 0 % ein. Auch wenn Risiko nicht explizit berücksichtigt wird, können Sie 0 % eintragen. (Oftmals wird das Risiko in den Zins direkt integriert.) Nachkommastellen werden, wie im Englischen, mit Punkt und nicht Komma getrennt.

Ergebnis: -

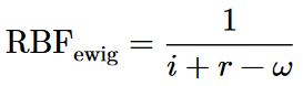
Kapitalisierungs­faktor einer ewigen Rente

Formel

Wenn der Zeithorizont unbegrenzt ist, also n → ∞ geht, vereinfacht sich die obige Formel folgendermaßen.

RBF ewig

Beispiel

Es gelten die Daten aus dem obigen Beispiel mit dem Unterschied, dass von einer ewigen Lebensdauer ausgegangen wird. Der Geldfluss beträgt 100 GE und wächst jährlich um 2%. Wieder beträgt der Zinssatz 10% und einen Risikoaufschlag gibt es nicht (0%).

RBF ewig Beispiel

Der Barwertfaktor der ewigen Rente von 12.5 wird mit dem Geldfluss von 100 multipliziert. Das Ergebnis beträgt 1250 GE.

RBF ewig Beispiel 2

Kapitalisierungs­faktor mit unend­lichen Zeit­horizont berechnen

Hier haben Sie die Möglichkeit einen Kapitalisierungsfaktor mit unendlichem Zeithorizont zu berechen. Es handelt sich um den Kapitalisierungsfaktor für eine ewige Rente.

Ergebnis: -

Kapitalisierungs­faktor mit Julia berechnen

Wenn Sie den Kapitalisierungsfaktor mit der Programmiersprache Julia berechnen wollen, finden Sie hier den Code. Die Hemmschwelle mag etwas höher als bei den obigen Onlinerechnern sein, aber Julia hat eine Philosophie, dass nur soviel verstanden werden muss, wie unbedingt nötig ist. Hier wird es sehr leicht bleiben. Sie brauchen keine Programmierkenntnisse.

Laden Sie sich Julia hier herunter und installieren Sie es.

Starten Sie Julia, indem Sie auf das Symbol auf dem Desktop, oder im Menü klicken.

Kopieren Sie den folgenden Code und fügen Sie ihn mit einem Rechtsklick in Julia (REPL) ein. Anschließend wird Enter gedrückt und die wichtigen Formeln sind als Funktion in der Session gespeichert.

rbf(i,g,r,n) = (1-(1+g)^n*(1+i+r)^-n)/(i+r-g)
rbf(i,g,r) = 1/(i+r-g)
        

Es folgt der Code für die Berechnung der beiden Beispiele.

rbf(0.1,0.02,0,30) # Beispiel 1
rbf(0.1,0.02,0) # Beispiel 2
        

Kopieren Sie den Code der Beispiele und geben Sie Ihre Werte ein. i steht für den Zinssatz, g für die Wachstumsrate, r für einen potentiellen Risikoaufschlag und n für die Anzahl der Jahre. Wird n nicht angegeben, so wird der Barwert einer ewigen Rente berechnet.

Das Ergebnis wird nach Drücken der Entertaste angezeigt.

Kapitalisierungs­faktor und Ertragswert­verfahren

Die Berechnung des Wertes einer Rente mittels Kapitalisierungsfaktor (Barwertfaktor) ist eine starke Vereinfachung des Ertragswertverfahrens mit einem detaillierten Planungshorizont und einer ewigen Rente bzw. einem Barwert am Planungshorizont. Es sei dazu auf die Seite des Ertragswertverfahrens hingewiesen. Dort finden Sie ausführliche Erklärungen, welche Ihnen sicherlich beim Verständnis helfen.